Forma Rectangular O Binomica De Un Numero Complejo
Calculadora online para pasar de la forma polar a la binómica y viceversa. En el caso de un número complejo r representa el valor absoluto o el módulo y el ángulo θ es llamado el argumento del número complejo.
forma rectangular o binomica de un numero complejo informații importante sunt însoțite de fotografii și imagini HD provenite de pe toate site-urile web din lume. Pe această pagină avem și diverse imagini atractive în PNG, JPEG, JPG, BMP, GIF, WebP, TIFF, PSD, EPS, PCX, CDR, AI, logo, pictogramă, vector, alb-negru, transparent etc.
Vă mulțumim pentru vizită, nu uitați să marcați marcajele forma rectangular o binomica de un numero complejo folosind Ctrl + D (PC) sau Comandă + D (macros). Dacă utilizați un telefon mobil, puteți utiliza și meniul paginii de salvare printr-un browser. Orice sistem de operare folosit fie Windows, Mac, iOS sau Android poate descărca imagini folosind butonul de descărcare.
Https Www Repositoriodigital Ipn Mx Bitstream 123456789 6322 1 Losnumeroscomplejos Pdf
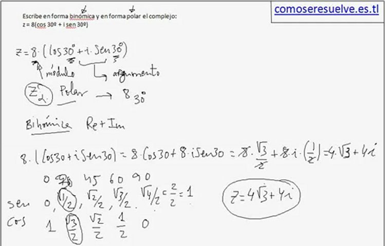
La forma rectangular de un número complejo está dada por z a bi.

Forma rectangular o binomica de un numero complejo. Su expresión en forma cartesiana es z ab. Forma polar y rectangular representación geométrica de un número complejosea z a bi un número complejo en forma binómica. Sustituya los valores de a y b.
El número a es la parte real del número complejo. Módulo y argumento de un número complejo forma polar duration. E iθ cos θ i sen θ.
Perteneciendo a y b al conjunto de los números reales. Números complejos de rectangular a polar suscríbete a nuestro canal httpsgooglh4k32z ingresa a nuestro sitio web para ver los servicios que profesor pa. Un número complejo z no confundirse con c que es el conjunto al que pertenecen se puede representar de la forma.
A continuación te voy a explicar cómo se representa un número complejoademás veremos cómo expresar un número complejo en forma polar y te explicaré cómo pasar un número complejo de forma binómica a forma polar y cómo pasar un número complejo de forma polar a forma binómica. Si a 0 el número complejo se reduce a bi y se dice que es un número imaginario puro. Con ejemplos resueltos paso a paso.
Esto puede resumirse como sigue. Matemáticas para bachillerato y universidad. Si b 0 el número complejo se reduce a un número real ya que a 0i a.
Con problemas resueltos y representaciones. Que define el simbolo e iθ o exp iθ para todo valor real de θ se conoce como fórmula de euler. Número complejo a la potencia n.
De forma polar ó cis a binomica. Un número complejo en forma binómica es a bi. Números complejos o imaginarios en forma polar.
Z rcos θ i sen θ la fórmula de euler permite expresar z más compactamente en forma exponencial. S a visto con anterioridad que los nmeros reales pueden representarse geomtricamente como puntos en una lnea recta de igual manera trataremos de representar geomtricamente l nmero complejo asignndole a la parte real del nmero complejo el eje coordenado x y a la parte imaginaria del nmero complejo el eje coordenado y. La forma polar de un número complejo z a bi es donde y.
Incluye las fórmulas para multiplicar y dividir complejos en forma polar. Forma rectangular de los numeros complejos. Si escribimos un número complejo no nulo en forma polar.
El conjunto de los números complejos se designa por. Consideremos el plano euclídeo real r 2 y en él un sistema de referencia ortonormal. Teorema de de moivre.
El conjugado de un número complejo se utiliza en la división de números complejos. Z re iθ. El número b es la parte imaginaria del número complejo.
Forma Cartesiana Y Binomica De Un Numero Complejo
Contadsfgsdfgdsfgdsfgdsfgdfgfd Docsity
De La Forma Binomica A Polar Geogebra
Los Numeros Complejos En Excel Trucos Y Cursos De Excel
Los Numeros Complejos
Numero Complejo Wikiwand
Pasar Un Numero Complejo De Trigonometrica A Polar Y Binomica
Contadsfgsdfgdsfgdsfgdsfgdfgfd Docsity
Formas Binomica Trigonometrica Y Polar De Los Numeros Complejos O
Apuntes Complejos Apuntes De Algebra Lineal Docsity
Forma Trigonometrica De Un Numero Complejo Algebra Y Geometria
You have just read the article entitled Forma Rectangular O Binomica De Un Numero Complejo. You can also bookmark this page with the URL : https://simptome-romania.blogspot.com/2016/10/forma-rectangular-o-binomica-de-un.html
Belum ada Komentar untuk "Forma Rectangular O Binomica De Un Numero Complejo"
Posting Komentar